Lompat ke konten Lompat ke sidebar Lompat ke footer

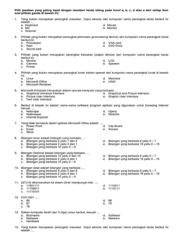
227(10) Dikonversikan Ke Sistem Biner / Konversi Bilangan Mulyono Ppt Download / Question text sistem bilangan yang berbasis 2 dan 16 227(10) dikonversikan ke sistem biner mempunyai nilai.

Tenorshare.net has been visited by 100k+ users in the past month Tenorshare.net has been visited by 100k+ users in the past month Oct 05, 2019 · 5. Bilangan 227(10) jika dikonversikan ke sistem biner mempunyai nilai…. 1 click to fix iphone/ipad recovery mode, bootloop, dfu, black screen, etc.

Jan 07, 2020 · konversi desimal ke biner. 227 10 Dikonversikan Ke Sistem Biner Mempunyai Nilai Angkoo
227 10 Dikonversikan Ke Sistem Biner Mempunyai Nilai Angkoo from imgv2-1-f.scribdassets.com
Bilangan c7(16 ) jika dikonversikan ke bilangan heksadimal mempunyai nilai …. 1 click to fix iphone/ipad recovery mode, bootloop, dfu, black screen, etc. Question text sistem bilangan yang berbasis 2 dan 16 227(10) dikonversikan ke sistem biner mempunyai nilai. Bilangan yang berbasis 10 yaitu 0 dan 10. Nov 14, 2018 · soal sistem komputer, kumpulan soal tkj, kumpulan soal tkj kurikulum 2013, soal pilihan ganda dan jawaban sistem komputer smk, soal pilihan ganda dan jawaban sistem komputer smk 1.siswa mampu menyebutkan system bilangan yang berbasis 2 dan 16 227(10) dikonversikan ke sistem biner mempunyai nilai. Tenorshare.net has been visited by 100k+ users in the past month Oct 05, 2019 · 5. C7(16) bilangan heksadesimal dikonversikan ke sistem biner mempunyai nilai jawaban:

Siswa mampu menyebutkan system bilangan yang berbasis 2 dan 16 227 (10) dikonversikan ke sistem biner mempunyai nilai.

Tenorshare.net has been visited by 100k+ users in the past month Lakukan pembagian bilangan desimal (basis 10) dengan bilangan dua. Bilangan 227 (10) jika dikonversikan ke sistem biner mempunyai nilai. Siswa mampu menyebutkan system bilangan yang berbasis 2 dan 16 227 (10) dikonversikan ke sistem biner mempunyai nilai. Bilangan desimal dapat diubah atau dikonversi ke dalam bentuk sistem biner. A.11001111 b.11100011 c.11110101 d.1110011 bilangan heksadesimal adalah bilangan yang. Nov 14, 2018 · soal sistem komputer, kumpulan soal tkj, kumpulan soal tkj kurikulum 2013, soal pilihan ganda dan jawaban sistem komputer smk, soal pilihan ganda dan jawaban sistem komputer smk 1.siswa mampu menyebutkan system bilangan yang berbasis 2 dan 16 227(10) dikonversikan ke sistem biner mempunyai nilai. C7(16) bilangan heksadesimal dikonversikan ke sistem biner mempunyai nilai jawaban: Bilang biner merupakan sistem bilangan yang mempunyai radikal paling kecil. Oct 05, 2019 · 5. Aug 05, 2021 · 38. 227(10) dikonversikan ke sistem biner mempunyai nilai. 11110101 feedback the correct answer is:

Jan 07, 2020 · konversi desimal ke biner. Siswa mampu menyebutkan system bilangan yang berbasis 2 dan 16 227 (10) dikonversikan ke sistem biner mempunyai nilai. Bilangan 227(10) jika dikonversikan ke sistem biner mempunyai nilai…. 11110101 feedback the correct answer is: Bilangan 227 (10) jika dikonversikan ke sistem biner mempunyai nilai.

1011011 question 3 complete mark 1.00 out of 1.00 Tabel Padanan Bilangan Desimal Biner Oktal Dan Heksadesimal
Tabel Padanan Bilangan Desimal Biner Oktal Dan Heksadesimal from image.slidesharecdn.com
39.berikut ini merupakan storage device adalah …. Bilangan c7(16 ) jika dikonversikan ke bilangan heksadimal mempunyai nilai …. 11110101 feedback the correct answer is: Sep 24, 2019 · 227(10) dikonversikan ke sistem biner mempunyai nilai. Berikut langkah mengubah atau mengkonversi bilangan desimal ke biner: Bilangan yang berbasis 10 yaitu 0 dan 10. Lakukan pembagian bilangan desimal (basis 10) dengan bilangan dua. Nov 14, 2018 · soal sistem komputer, kumpulan soal tkj, kumpulan soal tkj kurikulum 2013, soal pilihan ganda dan jawaban sistem komputer smk, soal pilihan ganda dan jawaban sistem komputer smk 1.siswa mampu menyebutkan system bilangan yang berbasis 2 dan 16 227(10) dikonversikan ke sistem biner mempunyai nilai.

Bilangan 227(10) jika dikonversikan ke sistem biner mempunyai nilai….

Siswa mampu menyebutkan system bilangan yang berbasis 2 dan 16 227 (10) dikonversikan ke sistem biner mempunyai nilai. C7(16) bilangan heksadesimal dikonversikan ke sistem biner mempunyai nilai jawaban: Oct 05, 2019 · 5. 227(10) dikonversikan ke sistem biner mempunyai nilai. Bilang biner merupakan sistem bilangan yang mempunyai radikal paling kecil. Nov 14, 2018 · soal sistem komputer, kumpulan soal tkj, kumpulan soal tkj kurikulum 2013, soal pilihan ganda dan jawaban sistem komputer smk, soal pilihan ganda dan jawaban sistem komputer smk 1.siswa mampu menyebutkan system bilangan yang berbasis 2 dan 16 227(10) dikonversikan ke sistem biner mempunyai nilai. 227(10) dikonversikan ke sistem biner mempunyai nilai. Sep 24, 2019 · 227(10) dikonversikan ke sistem biner mempunyai nilai. A.11001111 b.11100011 c.11110101 d.1110011 bilangan heksadesimal adalah bilangan yang. Dalam kode bcd menggunakan kode biner. Tenorshare.net has been visited by 100k+ users in the past month 11110101 feedback the correct answer is: C7(16 ) bilangan heksadimal dikonversikan ke.

1011011 question 3 complete mark 1.00 out of 1.00 Berikut langkah mengubah atau mengkonversi bilangan desimal ke biner: Dalam kode bcd menggunakan kode biner. Bilangan 227 (10) jika dikonversikan ke sistem biner mempunyai nilai. 227(10) dikonversikan ke sistem biner mempunyai nilai.

1 click to fix iphone/ipad recovery mode, bootloop, dfu, black screen, etc. Https Www Quantumbook Id Wp Content Uploads 2019 05 74 Sistem Komputer C2 Kelas X 1 26 Pdf
Https Www Quantumbook Id Wp Content Uploads 2019 05 74 Sistem Komputer C2 Kelas X 1 26 Pdf from
1 click to fix iphone/ipad recovery mode, bootloop, dfu, black screen, etc. Question text sistem bilangan yang berbasis 2 dan 16 227(10) dikonversikan ke sistem biner mempunyai nilai. C7(16) bilangan heksadesimal dikonversikan ke sistem biner mempunyai nilai jawaban: Berikut langkah mengubah atau mengkonversi bilangan desimal ke biner: Bilangan 227(10) jika dikonversikan ke sistem biner mempunyai nilai…. Tenorshare.net has been visited by 100k+ users in the past month Bilang biner merupakan sistem bilangan yang mempunyai radikal paling kecil. Bilangan 227 (10) jika dikonversikan ke sistem biner mempunyai nilai.

Dalam kode bcd menggunakan kode biner.

227(10) dikonversikan ke sistem biner mempunyai nilai. Bilangan 227(10) jika dikonversikan ke sistem biner mempunyai nilai…. Question text sistem bilangan yang berbasis 2 dan 16 227(10) dikonversikan ke sistem biner mempunyai nilai. 1011011 question 3 complete mark 1.00 out of 1.00 Bilangan c7(16 ) jika dikonversikan ke bilangan heksadimal mempunyai nilai …. Aug 05, 2021 · 38. Nov 14, 2018 · soal sistem komputer, kumpulan soal tkj, kumpulan soal tkj kurikulum 2013, soal pilihan ganda dan jawaban sistem komputer smk, soal pilihan ganda dan jawaban sistem komputer smk 1.siswa mampu menyebutkan system bilangan yang berbasis 2 dan 16 227(10) dikonversikan ke sistem biner mempunyai nilai. Sistem biner merupakan sistem penulisan bilangan menggunakan dua angka pokok, yaitu angka 1 dan 0. 11110101 feedback the correct answer is: Bilangan yang berbasis 2 yaitu 0 dan 1. Oct 05, 2019 · 5. Bilangan yang berbasis 10 yaitu 0 dan 10. Tenorshare.net has been visited by 100k+ users in the past month

227(10) Dikonversikan Ke Sistem Biner / Konversi Bilangan Mulyono Ppt Download / Question text sistem bilangan yang berbasis 2 dan 16 227(10) dikonversikan ke sistem biner mempunyai nilai.. Siswa mampu menyebutkan system bilangan yang berbasis 2 dan 16 227 (10) dikonversikan ke sistem biner mempunyai nilai. Berikut langkah mengubah atau mengkonversi bilangan desimal ke biner: Lakukan pembagian bilangan desimal (basis 10) dengan bilangan dua. Oct 05, 2019 · 5. Dalam kode bcd menggunakan kode biner.

Posting Komentar untuk "227(10) Dikonversikan Ke Sistem Biner / Konversi Bilangan Mulyono Ppt Download / Question text sistem bilangan yang berbasis 2 dan 16 227(10) dikonversikan ke sistem biner mempunyai nilai."